Bugün açıklanan Orta Vadeli Program (OVP) kapsamında, 2025 yılı için kamu idarelerine tahsis edilen bütçeler belirlendi. Türkiye'nin üç yıllık ekonomik hedeflerini ve stratejilerini özetleyen bu program, Resmi Gazete'de yayımlandı.
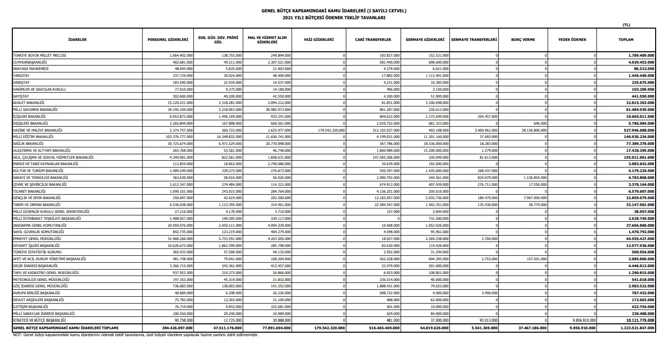
Kamuda En Yüksek Bütçe Maliye'de
2025 yılı için kamu bütçesi dağılımında en büyük pay, Hazine ve Maliye Bakanlığı'na ayrıldı. Bakanlık, toplamda 6 trilyon 121 milyar 542 milyon TL bütçeye sahip olacak. Milli Eğitim Bakanlığı ve Sağlık Bakanlığı ise bu bütçeyi sırasıyla takip ediyor.
Ödenekler
- Türkiye Büyük Millet Meclisi: 16.946.326.000 TL
- Cumhurbaşkanlığı: 16.928.146.000 TL
- Anayasa Mahkemesi: 789.466.000 TL
- Yargıtay: 4.010.716.000 TL
- Danıştay: 2.389.043.000 TL
- Hakimler ve Savcılar Kurulu: 1.187.203.000 TL
- Sayıştay: 3.259.505.000 TL
- Adalet Bakanlığı: 270.637.731.000 TL
- Milli Savunma Bakanlığı: 623.899.190.000 TL
- İçişleri Bakanlığı: 96.401.694.000 TL
- Dışişleri Bakanlığı: 39.035.706.000 TL
- Hazine ve Maliye Bakanlığı: 6.121.542.656.000 TL
- Milli Eğitim Bakanlığı: 1.451.715.540.000 TL
- Sağlık Bakanlığı: 1.017.383.129.000 TL
- Ulaştırma ve Altyapı Bakanlığı: 144.162.221.000 TL
- Aile ve Sosyal Hizmetler Bakanlığı: 407.010.627.000 TL
- Enerji ve Tabii Kaynaklar Bakanlığı: 33.956.447.000 TL
- Kültür ve Turizm Bakanlığı: 38.361.825.000 TL
- Sanayi ve Teknoloji Bakanlığı: 64.643.236.000 TL
- Çevre, Şehircilik ve İklim Değişikliği Bakanlığı: 82.740.622.000 TL
- Ticaret Bakanlığı: 56.173.318.000 TL
- Gençlik ve Spor Bakanlığı: 231.922.274.000 TL
- Tarım ve Orman Bakanlığı: 223.824.252.000 TL
- Milli Güvenlik Kurulu Genel Sekreterliği: 380.778.000 TL
- Milli İstihbarat Teşkilatı Başkanlığı: 28.896.461.000 TL
- Jandarma Genel Komutanlığı: 261.262.624.000 TL
- Sahil Güvenlik Komutanlığı: 16.766.308.000 TL
- Emniyet Genel Müdürlüğü: 416.426.543.000 TL
- Diyanet İşleri Başkanlığı: 130.119.153.000 TL
- Afet ve Acil Durum Yönetimi Başkanlığı: 250.466.260.000 TL
- Gelir İdaresi Başkanlığı: 47.519.639.000 TL
- Tapu ve Kadastro Genel Müdürlüğü: 11.172.157.000 TL
- Meteoroloji Genel Müdürlüğü: 4.873.426.000 TL
- Göç İdaresi Başkanlığı: 36.205.532.000 TL
- Avrupa Birliği Başkanlığı: 6.797.254.000 TL
- Devlet Arşivleri Başkanlığı: 1.217.806.000 TL
- İletişim Başkanlığı: 6.155.014.000 TL
- Milli Saraylar İdaresi Başkanlığı: 3.113.542.000 TL
- Strateji ve Bütçe Başkanlığı: 306.770.439.000 TL
- Çalışma ve Sosyal Güvenlik Bakanlığı: 865.536.500.000 TL
- İklim Değişikliği Başkanlığı: 405.463.000 TL
Kaynak: HABER MERKEZI





